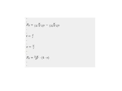
Se puede ver claramente que en el Catacroc el resultado no es el mismo que el del sistema de dos ecuaciones de Newton.
Ahora falta exponer el cálculo del resultado obtenido a partir del sistema de dos ecuaciones del Catacroc.
Diferentes trabajos elaborados en forma prácticamente definitiva, resultados de investigaciones en torno a la elaboración de mi teoría del todo.
